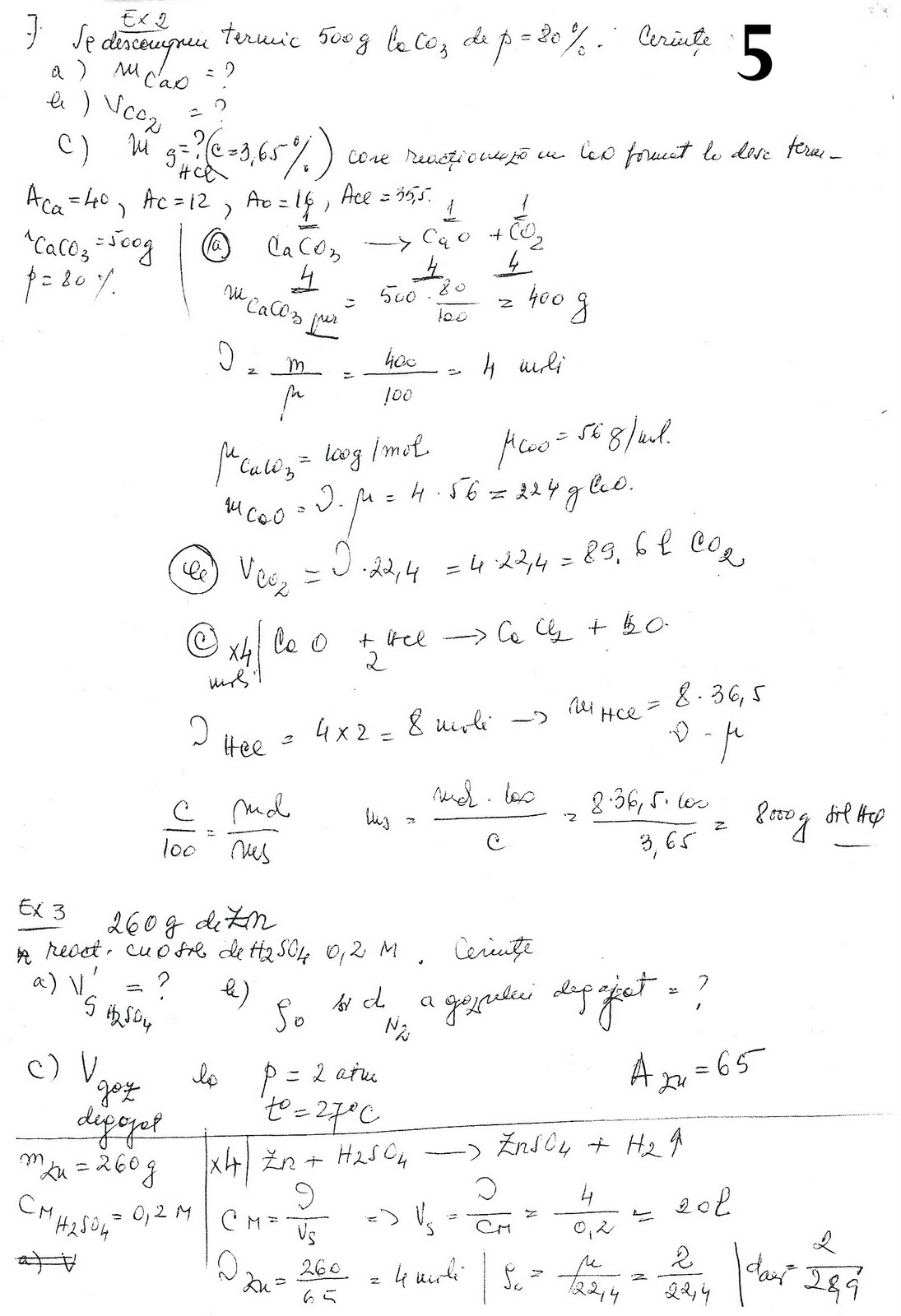
Recapitulare Chimie Clasa A 10a

2 au spus mulţumesc.
Recapitulare chimie clasa a 10a. Sumar detalii scris de vlad lazăr categorie. 1 a spus mulţumesc. 28754 iată mai jos un rezumat al materiei de clasa a viii a de chimie. Scopul nostru este să ne concentrăm pe prezentarea noțiunilor și fenomenelor într o manieră care să stimuleze înțelegerea și nu memorarea mecanică.
Teste inițiale și materiale de susținere a învățării pentru recapitulare au fost publicate de ministerul educației pentru elevii de clasa a viii a la acele materii la care instituția nu a terminat încă licitația pentru manuale școlare. Marius andruh iuliana costeniuc şi mihaela morcovescu manualul de chimie pentru clasa a viii a reprezintă un instrument de studiu ce încurajează curiozitatea nativă a copiilor și dorința lor de a înțelege fenomenele acestei științe. Lecții virtuale este o platformă educațională care oferă filme și teste cu indicații ce conțin rezolvare completă pe pași la materiile matematică fizică și chimie. Realizat de o echipă de autori cu o experiență didactică bogată acad.
Materialele sunt concepute pentru prima săptămână de școală. Scopul nostru este să ne concentrăm pe prezentarea noțiunilor și fenomenelor într o manieră care să stimuleze înțelegerea și nu memorarea mecanică. Descărcaţi 0 review uri 652. învăţământ liceal chimie lecţii clasa a 9 a.
învăţământ liceal matematica teste clasa a 10 a. Lecții virtuale este o platformă educațională care oferă filme și teste cu indicații ce conțin rezolvare completă pe pași la materiile matematică fizică și chimie. Un blog dedicat elevului. Lectii video matematica clasa a 10 a.
Nicoleta02 scoala de arte si meserii areta teodorescu grivita. Lectie de recapitulare a cunostintelor din cls 7 8. Safari prin lumea ştiinţei publicat. 7 octombrie 2006 05 29.
Exercitii de curaj. Florentinapaula scoala gimnaziala nr 4 turnu magurele. 0 stele 0 review uri. 04 septembrie 2017 accesări.
Matematica clasa a x a home. Lectii interactive la geografie fizica chimie biologie si matematica. în doar câteva pagini sper să fi reuşit să surprind tot ceea ce trebuie reţinut din cartea de chimie. Lectii de mate materiale bac evaluarea națională matematică alte materii.